您的位置:计算机文化基础 精品课程 > 实验指导 > 4. Word2010 公式和绘图
实验四 公式编辑器及绘图工具的使用
1.掌握公式编辑器的使用
2.掌握图形的绘制和编辑
3.掌握艺术字和图片操作
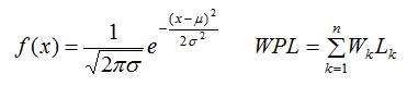
1.使用公式编辑器编辑下列两个公式,保存为abc3.doc。

2.在abc3.doc中插入剪贴画“计算机”,版式为浮于文字上方,锁定纵横比并调整其高度为8cm。
3.插入艺术字“计算机文化基础”,使用艺术字样式21,版式为浮于文字上方,逆时针旋转45度角。
4.利用绘图工具,绘制以下图形。
(1)绘制禁止符。在禁止符下方添加文字“禁止通行”。

(2)插入任意文件夹中的一个图片文件,并调整它的格式。
5.绘制流程图(参考:自选图形中的流程图)。

Copyright © 2017 安庆医专公共基础部. All Rights Reserved.
技术支持:安庆医专 公共基础部